Упр.1.14 ГДЗ Мерзляк 10 класс Углубленный уровень (Алгебра)
Решение #1

Рассмотрим вариант решения задания из учебника Мерзляк, Номировский, Поляков 10 класс, Просвещение:
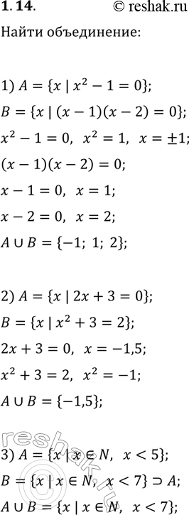
1.14. Найдите объединение множеств A и В, если:
1) A={x | x^2-1=0}, B={x | (x-1)(x-2)=0};
2) A={x | 2x+3=0}, B={x | x^2+3=2};
3) A={x | x?N, x < 5}, B={x | x?N, x < 7}.
Похожие решебники
Популярные решебники 10 класс Все решебники
*размещая тексты в комментариях ниже, вы автоматически соглашаетесь с пользовательским соглашением