🔥ГДЗ под запретом?

Упр.1.107 ГДЗ Виленкин Жохов 6 класс Часть 1, Просвещение (Математика)

Решение #1 (Учебник 2023)

Изображение Шоколад содержит 70 % какао. Сколько килограммов какао потребуется для производства 1,2 ц такого шоколада?Известно, что шоколад содержит 70% какао.Это значит, что...

Решение #2 (Учебник 2023)

Изображение Шоколад содержит 70 % какао. Сколько килограммов какао потребуется для производства 1,2 ц такого шоколада?Известно, что шоколад содержит 70% какао.Это значит, что...

Решение #3 (Учебник 2021)

Изображение Шоколад содержит 70 % какао. Сколько килограммов какао потребуется для производства 1,2 ц такого шоколада?Известно, что шоколад содержит 70% какао.Это значит, что...

Решение #4 (Учебник 2021)

Изображение Шоколад содержит 70 % какао. Сколько килограммов какао потребуется для производства 1,2 ц такого шоколада?Известно, что шоколад содержит 70% какао.Это значит, что...

Рассмотрим вариант решения задания из учебника Виленкин, Жохов, Чесноков 6 класс, Просвещение:
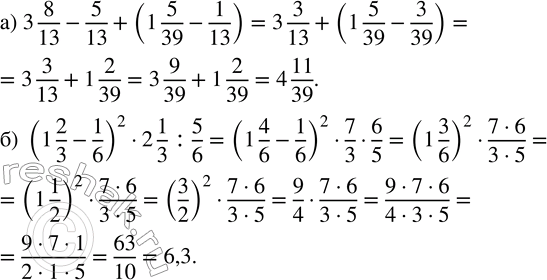
Найдите значение выражения:
а) 3 8/13 - 5/13 + (1 5/39 - 1/13); 6) (1 2/3 - 1/6)^2 · 2 1/3 : 5/6.

Шоколад содержит 70 % какао. Сколько килограммов какао потребуется для производства 1,2 ц такого шоколада?

Известно, что шоколад содержит 70% какао.
Это значит, что для производства 100 кг шоколада потребуется 70 кг какао, или для 1 кг шоколада – 0,7 кг какао.
Напомним, что 1 ц=100 кг.
Тогда, 1,2 ц=1,2•100 кг=120 кг – шоколада.
Значит, для производства 120 кг шоколада потребуется
120•0,7=84 (кг) – какао.
Ответ: 84 кг.

*Цитирирование задания со ссылкой на учебник производится исключительно в учебных целях для лучшего понимания разбора решения задания.
*К сожалению, временные проблемы с публикацией комментариев с мобильных устройств.