Упр.9.3 ГДЗ Мордковича 11 класс профильный уровень (Алгебра)
Решение #1
Решение #2(записки учителя)
Решение #3(записки школьника)

Рассмотрим вариант решения задания из учебника Мордкович, Семенов 11 класс, Мнемозина:
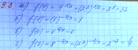
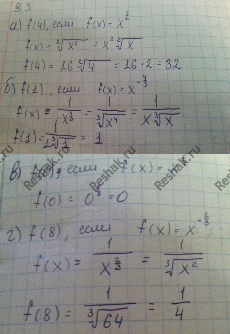
9.3 Вычислите:
а)f(4),если f(x)=x5/2;
f(1), если f(x)=x-4/3;
f(0), если f(x)=x6/7;
f(8),если f(x)=x-2/3.
Похожие решебники
Популярные решебники 11 класс Все решебники
*размещая тексты в комментариях ниже, вы автоматически соглашаетесь с пользовательским соглашением