Упр.27.39 ГДЗ Мордковича 11 класс профильный уровень (Алгебра)
Решение #1
Решение #2(записки учителя)
Решение #3(записки школьника)

Рассмотрим вариант решения задания из учебника Мордкович, Семенов 11 класс, Мнемозина:
Решите уравнение:
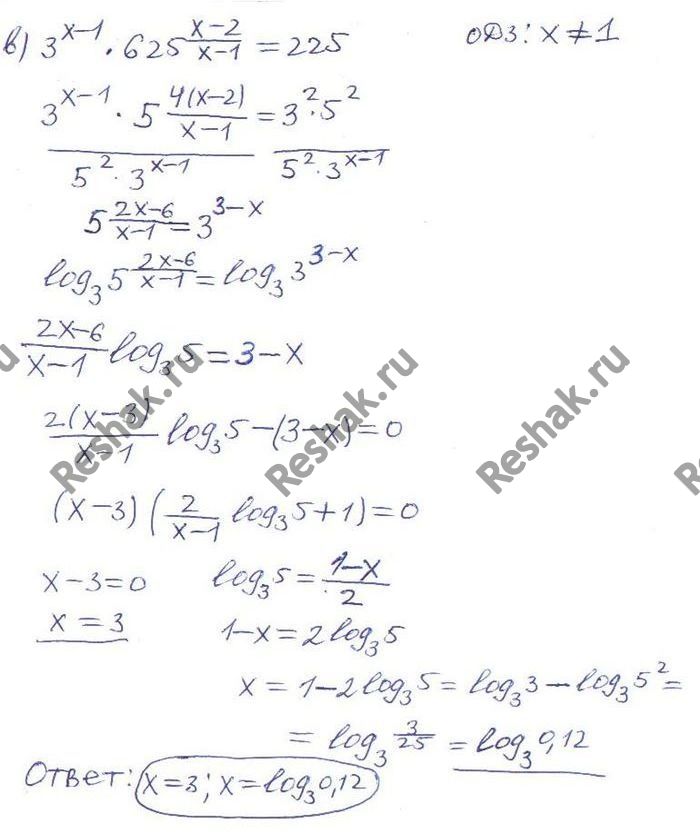
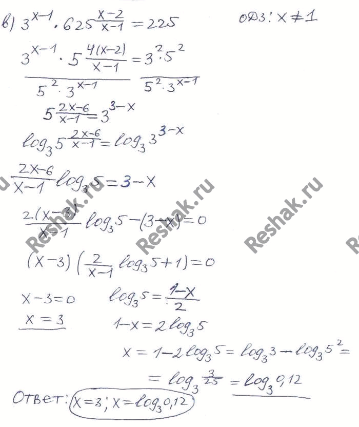
27.39 а)2x*5((1+x)/x)=50; в)3(x-1)*625((x-2)/(x-1))=225;
б)3x*2(3/x)=24; г)5x*2((2+x)/x)=40.
Похожие решебники
Популярные решебники 11 класс Все решебники
*К сожалению, временные проблемы с публикацией комментариев с мобильных устройств.