Упр.27.36 ГДЗ Мордковича 11 класс профильный уровень (Алгебра)
Решение #1
Решение #2(записки учителя)
Решение #3(записки школьника)

Рассмотрим вариант решения задания из учебника Мордкович, Семенов 11 класс, Мнемозина:
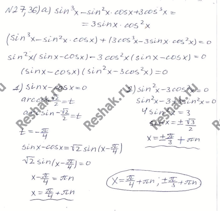
27.36. a) sin3(x) - sin2(x) cos x + 3 cos3(x) = 3 sin x cos2(x);
6) sin3(x) + 5 sin2(x) cos x = 6 cos3(x).
Похожие решебники
Популярные решебники 11 класс Все решебники
*размещая тексты в комментариях ниже, вы автоматически соглашаетесь с пользовательским соглашением