Упр.27.43 ГДЗ Мордковича 11 класс профильный уровень (Алгебра)
Решение #1
Решение #2(записки учителя)
Решение #3(записки школьника)

Рассмотрим вариант решения задания из учебника Мордкович, Семенов 11 класс, Мнемозина:
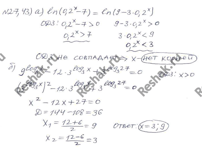
27.43 а)ln(0,2x-7)=ln(9-3*0,2x);
б)9log3(x)-12*3log3(x)+3log3(27)=0;
в)elg(x-2)*1/e=(e^-1)lg(x+1);
г)log5(2+3*5(-x))=x+1.
Похожие решебники
Популярные решебники 11 класс Все решебники
*размещая тексты в комментариях ниже, вы автоматически соглашаетесь с пользовательским соглашением