Упр.21.18 ГДЗ Мордковича 11 класс профильный уровень (Алгебра)
Решение #1
Решение #2(записки учителя)
Решение #3(записки школьника)

Рассмотрим вариант решения задания из учебника Мордкович, Семенов 11 класс, Мнемозина:
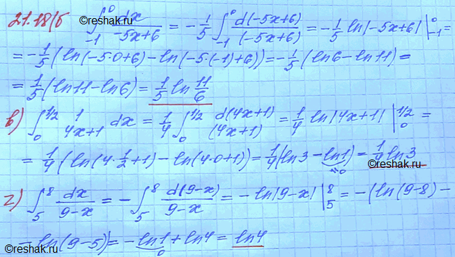
21.18 а)интеграл (3;6) dx/(2x-1);б)интеграл (-1;0) dx/(-5x+6);в)интеграл (0;1/2) 1/(4x+1)dx;г)интеграл (5;8) dx/(9-x).
Похожие решебники
Популярные решебники 11 класс Все решебники
*размещая тексты в комментариях ниже, вы автоматически соглашаетесь с пользовательским соглашением