Упр.20.3 ГДЗ Мордковича 11 класс профильный уровень (Алгебра)
Решение #1
Решение #2(записки учителя)
Решение #3(записки школьника)

Рассмотрим вариант решения задания из учебника Мордкович, Семенов 11 класс, Мнемозина:
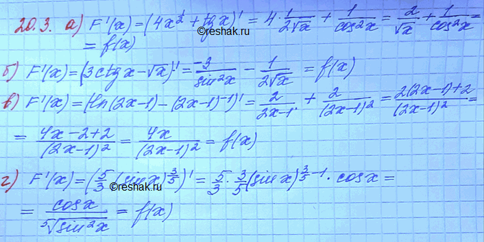
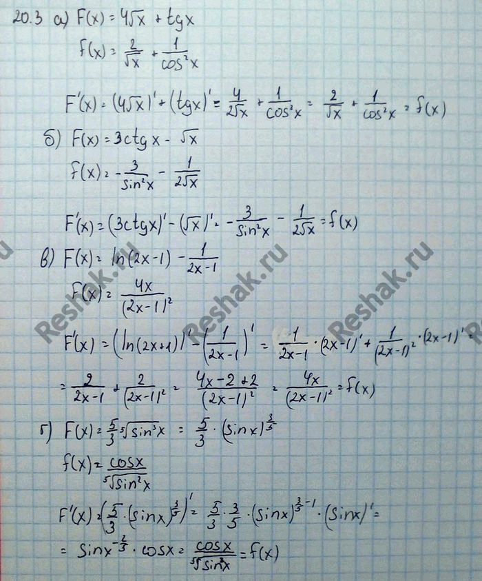
20.3 а)F(x)=4 корень x + tgx, f(x)=2/корень x + 1/cos2(x);
б)F(x)=3ctgx-корень x, f(x)=-3/sin2x - 1/2 корень x;
в)F(x)=ln(2x-1) - 1/(2x-1), f(x)=4x/(2x-1)2;
г)F(x)=5/3 корень 5 степени sin3x, f(x)=cosx/корень 5 степени sin2x.
Похожие решебники
Популярные решебники 11 класс Все решебники
*размещая тексты в комментариях ниже, вы автоматически соглашаетесь с пользовательским соглашением