Упр.20.2 ГДЗ Мордковича 11 класс профильный уровень (Алгебра)
Решение #1
Решение #2(записки учителя)
Решение #3(записки школьника)

Рассмотрим вариант решения задания из учебника Мордкович, Семенов 11 класс, Мнемозина:
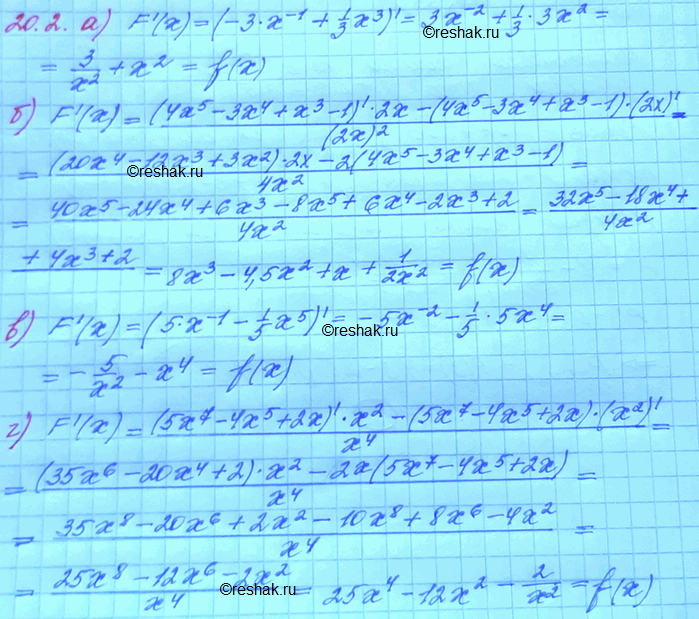
20.2 а)F(x)=-3/x + x3/3, f(x)=3/x2 + x2;
б)F(x)=(4x5-3x4+x3-1)/2x, f(x)=8x3-4,5x2+x+1/2x2;
в)F(x)=5/x - x5/5, f(x)=-5/x2-x4;
г)F(x)(5x7-4x5+2x)/x2,f(x)=25x4-12x3-2/x2,
Похожие решебники
Популярные решебники 11 класс Все решебники
*размещая тексты в комментариях ниже, вы автоматически соглашаетесь с пользовательским соглашением