Упр.17.40 ГДЗ Мордковича 11 класс профильный уровень (Алгебра)
Решение #1
Решение #2(записки учителя)
Решение #3(записки школьника)

Рассмотрим вариант решения задания из учебника Мордкович, Семенов 11 класс, Мнемозина:
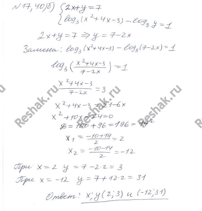
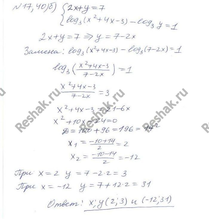
Решите систему уравнений:
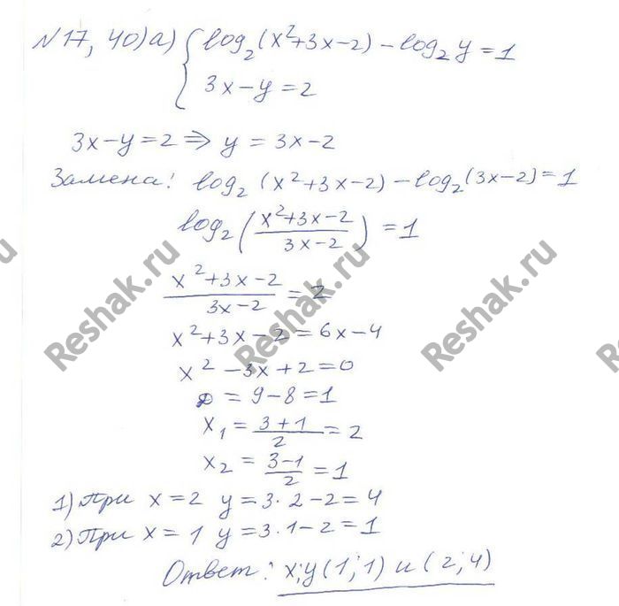
17.40 а) система
log2(x2+3x-2)-log2(y)=1,
3x-y=2;
б) система
2x+y=7,
log3(x2+4x-3)-log3(y)=1.
Похожие решебники
Популярные решебники 11 класс Все решебники
*размещая тексты в комментариях ниже, вы автоматически соглашаетесь с пользовательским соглашением