Упр.17.34 ГДЗ Мордковича 11 класс профильный уровень (Алгебра)
Решение #1
Решение #2(записки учителя)
Решение #3(записки школьника)

Рассмотрим вариант решения задания из учебника Мордкович, Семенов 11 класс, Мнемозина:
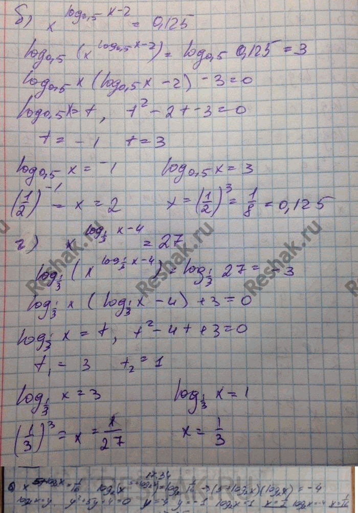
17.34 а)xlgx-2=1000;
б)xlog0,5(x)-2=0,125;
в)x(5+log2(x))=1/16;
г)xlog1/3(x)-4 = 27.
Похожие решебники
Популярные решебники 11 класс Все решебники
*размещая тексты в комментариях ниже, вы автоматически соглашаетесь с пользовательским соглашением