Упр.1.9 ГДЗ Мордковича 11 класс профильный уровень (Алгебра)
Решение #1
Решение #2(записки учителя)
Решение #3(записки школьника)

Рассмотрим вариант решения задания из учебника Мордкович, Семенов 11 класс, Мнемозина:
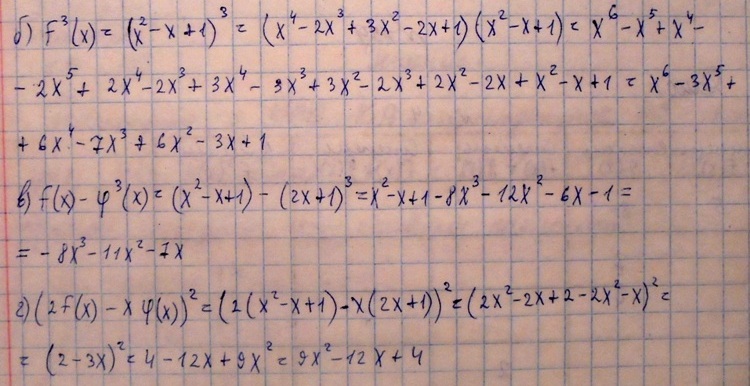
1.9. Пусть f(x) = х2 - х + 1 и фи(х) = 2х + 1; найдите:
a)f2(x);б) f3(x); B)f(x) - (фи3(x); r)(2f(x) - х(фи(х))2.
Похожие решебники
Популярные решебники 11 класс Все решебники
*размещая тексты в комментариях ниже, вы автоматически соглашаетесь с пользовательским соглашением