Упр.1.43 ГДЗ Мордковича 11 класс профильный уровень (Алгебра)
Решение #1
Решение #2(записки учителя)
Решение #3(записки школьника)

Рассмотрим вариант решения задания из учебника Мордкович, Семенов 11 класс, Мнемозина:
1.43. а) Найдите многочлен р(х) второй степени, если р(0) = -1, р(1) = 2, р(2) = 3.
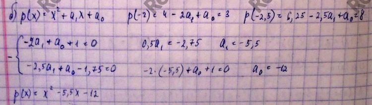
б) Найдите приведенный многочлен р(х) второй степени, если р(-2) = 3, р(-2,5) = 8.
Похожие решебники
Популярные решебники 11 класс Все решебники
*К сожалению, временные проблемы с публикацией комментариев с мобильных устройств.