Упр.60.16 ГДЗ Мордкович 10-11 класс (Алгебра)
Решение #1
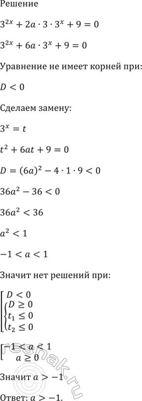
Решение #2

Рассмотрим вариант решения задания из учебника Мордкович, Семенов 11 класс, Мнемозина:
60.16 При каких значениях параметра а не имеет корней уравнение:
а) 48 * 4^х + 27 = а + а * 4^(x + 2);
б) 9^x + 2а * 3^(x + 1) + 9 = 0?
Похожие решебники
Популярные решебники 11 класс Все решебники
*размещая тексты в комментариях ниже, вы автоматически соглашаетесь с пользовательским соглашением