Упр.59.4 ГДЗ Мордкович 10-11 класс (Алгебра)
Решение #1
Решение #2

Рассмотрим вариант решения задания из учебника Мордкович, Семенов 11 класс, Мнемозина:
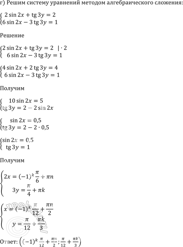
59.4
а) система
log2 x - log3 y = -5,
2 log2 x + 3 log3 у = 0;
б) система
cos x + cos 2y = -0,5,
3 cos 2y - cos x = 2,5;
Похожие решебники
Популярные решебники 11 класс Все решебники
*размещая тексты в комментариях ниже, вы автоматически соглашаетесь с пользовательским соглашением