Упр.4.34 ГДЗ Мордкович 9 класс (Алгебра)
Решение #1
Решение #2

Рассмотрим вариант решения задания из учебника Мордкович 9 класс, Мнемозина:
Решите систему неравенств:
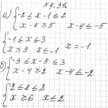
4.34 а) система
|x-1| < =2,
|x-4| > =5;
б) система
|x+5| < 3,
|x-1| > =4;
в) система
|x+5| < 3,
|x-1| > =4;
г) система
|x-3| < 5,
|x-+2| > =1.
Похожие решебники
Популярные решебники 9 класс Все решебники
*К сожалению, временные проблемы с публикацией комментариев с мобильных устройств.