Упр.4.40 ГДЗ Мордкович 9 класс (Алгебра)
Решение #1
Решение #2

Рассмотрим вариант решения задания из учебника Мордкович, Александрова 9 класс, Мнемозина:
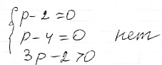
4.40. При каких значениях параметра р неравенство (р - 2)х2 - (р - 4)х + (3р - 2) > 0:
а) не имеет решений;
б) выполняется при любых значениях х?
Похожие решебники
Популярные решебники 9 класс Все решебники
*К сожалению, временные проблемы с публикацией комментариев с мобильных устройств.