Упр.4.32 ГДЗ Мордкович 9 класс (Алгебра)
Решение #1
Решение #2

Рассмотрим вариант решения задания из учебника Мордкович 9 класс, Мнемозина:
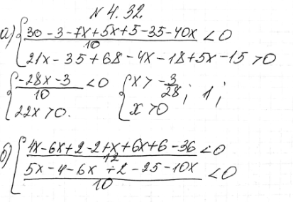
4.32. а) Найдите наименьшее целое число, удовлетворяющее системе неравенств
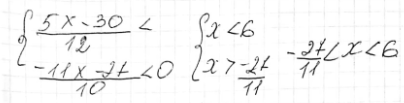
б) Найдите наименьшее и наибольшее целые числа, удовлетворяющие системе неравенств
Похожие решебники
Популярные решебники 9 класс Все решебники
*К сожалению, временные проблемы с публикацией комментариев с мобильных устройств.