Упр.2.27 ГДЗ Мордкович 9 класс (Алгебра)
Решение #1
Решение #2

Рассмотрим вариант решения задания из учебника Мордкович 9 класс, Мнемозина:
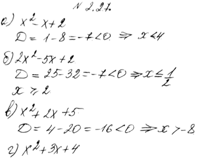
2.27. а) (х2 + х + 2)(х - 4) < 0;
б) (2х2 - 5х + 2)(х2 - х + 1) > = 0;
в) (х + 8)(х2 + 2х + 5) > 0;
г) (3х2 + 10х + 3)(х2 + Зх + 4) < = 0.
Похожие решебники
Популярные решебники 9 класс Все решебники
*К сожалению, временные проблемы с публикацией комментариев с мобильных устройств.