Упр.17.40 ГДЗ Мордкович 9 класс (Алгебра)
Решение #1
Решение #2

Рассмотрим вариант решения задания из учебника Мордкович 9 класс, Мнемозина:
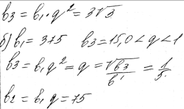
17.40. а) Дана возрастающая геометрическая прогрессия (bn).
Найдите знаменатель и первые три члена этой прогрессии, если b1 = корень 3, b9 = 81 корень 3.
б) Дана убывающая геометрическая прогрессия (bn). Найдите знаменатель и первые три члена этой прогрессии, если b1 = 375, b3 = 15.
Похожие решебники
Популярные решебники 9 класс Все решебники
*К сожалению, временные проблемы с публикацией комментариев с мобильных устройств.