Упр.17.39 ГДЗ Мордкович 9 класс (Алгебра)
Решение #1
Решение #2

Рассмотрим вариант решения задания из учебника Мордкович 9 класс, Мнемозина:
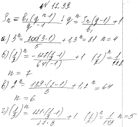
17.39. В конечной геометрической прогрессии указаны первый член b1, знаменатель q и сумма Sn всех ее членов. Найдите число членов прогрессии:
а) b1 = 5, q = 3, Sn = 200;
б) b1 = -1, q = 1/2; Sn=-1*63/64;
в) b1 = 3, q = 2, Sn = 189;
г) b1 = 3, q=1/3, Sn=4*13/27.
Похожие решебники
Популярные решебники 9 класс Все решебники
*размещая тексты в комментариях ниже, вы автоматически соглашаетесь с пользовательским соглашением