Упр.59 ГДЗ Макарычев Миндюк 9 класс (Алгебра)
Решение #1
Решение #2
Решение #3

Рассмотрим вариант решения задания из учебника Макарычев, Миндюк, Нешков 9 класс, Просвещение:
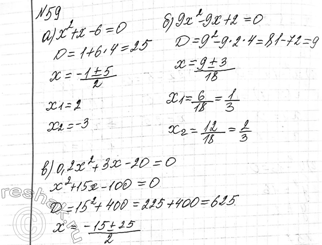
59 Найдите корни квадратного трёхчлена:
а) х2 + х - 6;
б) 9x2 - 9x + 2;
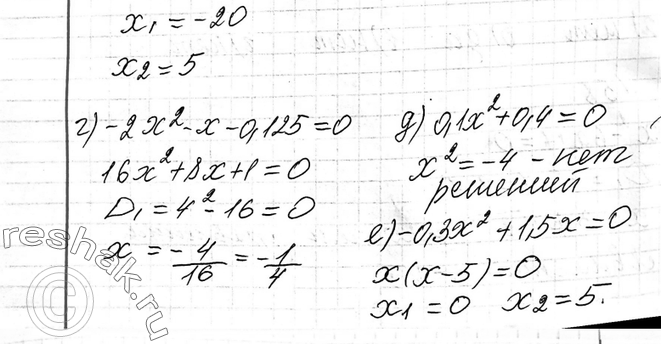
в) 0,2x2 + 3x - 20;
г) -2x2 — х — 0,125
д) 0,1x2 + 0,4;
е) -0,3x2 + 1,5x.
Похожие решебники
Популярные решебники 9 класс Все решебники
*размещая тексты в комментариях ниже, вы автоматически соглашаетесь с пользовательским соглашением