Упр.283 ГДЗ Макарычев Миндюк 9 класс (Алгебра)
Решение #1
Решение #2
Решение #3

Рассмотрим вариант решения задания из учебника Макарычев, Миндюк, Нешков 9 класс, Просвещение:
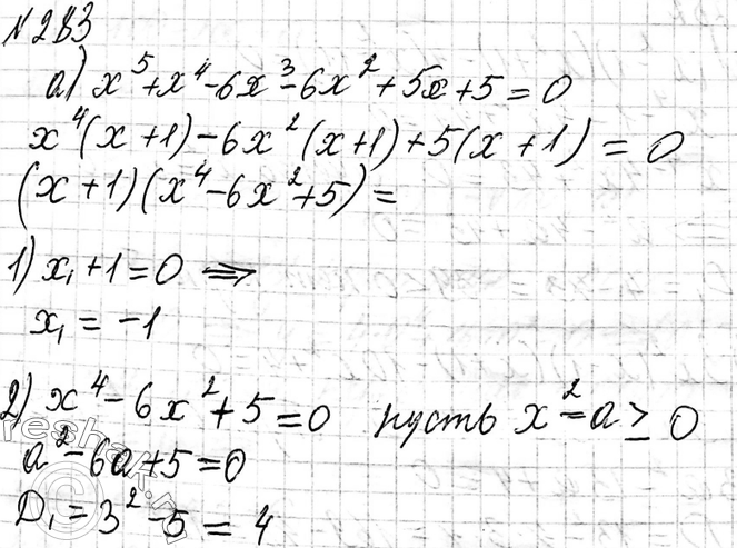
283. Решите уравнение:
а) х5 + х4 - 6x3 - 6x2 + 5x+5=0;
б) х5 - х4 - 2х3 + 2x2 - 3x+3=0.
Похожие решебники
Популярные решебники 9 класс Все решебники
*К сожалению, временные проблемы с публикацией комментариев с мобильных устройств.