Упр.277 ГДЗ Макарычев Миндюк 9 класс (Алгебра)
Решение #1
Решение #2
Решение #3

Рассмотрим вариант решения задания из учебника Макарычев, Миндюк, Нешков 9 класс, Просвещение:
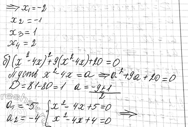
277. Решите уравнение:
а) (х2 + З)2 - 11(х2 +3) +28 =0;
б) (х2 - 4х)2 + 9(х2-4x)+20=0;
в) (х2 + х)(х2 + x - 5)=84.
Похожие решебники
Популярные решебники 9 класс Все решебники
*размещая тексты в комментариях ниже, вы автоматически соглашаетесь с пользовательским соглашением