Упр.1014 ГДЗ Макарычев Миндюк 9 класс (Алгебра)
Решение #1
Решение #2
Решение #3

Рассмотрим вариант решения задания из учебника Макарычев, Миндюк, Нешков 9 класс, Просвещение:
1014. Решите систему неравенств:
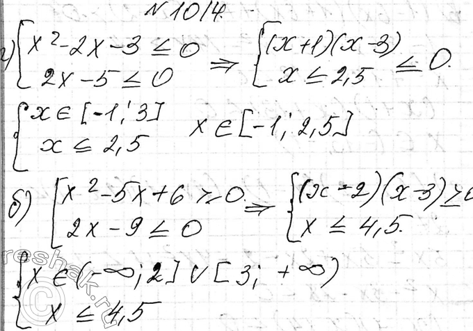
а) система
x2-2x-3 < =0,
2x-5 < =5;
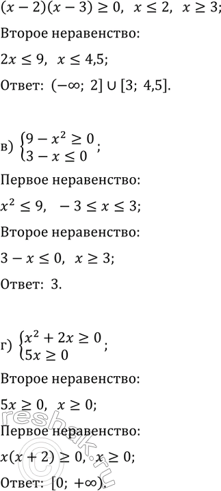
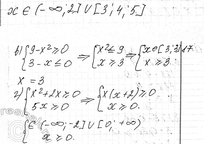
б) система
x2-5x+6 > =0,
2x-9 < =0;
в) система
9-x2 > =0,
3-x < =0;
г) система
x2+2x > =0,
5x > =0.
Похожие решебники
Популярные решебники 9 класс Все решебники
*К сожалению, временные проблемы с публикацией комментариев с мобильных устройств.