Упр.1011 ГДЗ Макарычев Миндюк 9 класс (Алгебра)
Решение #1
Решение #2
Решение #3

Рассмотрим вариант решения задания из учебника Макарычев, Миндюк, Нешков 9 класс, Просвещение:
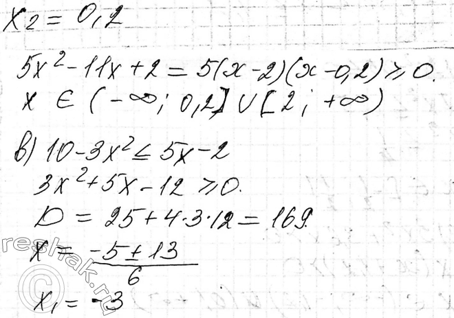
1011. Решите неравенство:
а) x2 + 2х - 15 < 0;
б) 5x2 - 11x + 2 > = 0;
в) 10 - 3x2 < = 5x - 2;
г) (2x + 3)(2 - х) > 3;
д) 2x2 - 0,5 < = 0;
е) 3x2 + 3,6x > 0;
ж) (0,2 - x)(0,2 + x) < 0;
з) x(3x - 2,4) > 0.
Похожие решебники
Популярные решебники 9 класс Все решебники
*К сожалению, временные проблемы с публикацией комментариев с мобильных устройств.