Упр.941 ГДЗ Макарычев Миндюк 8 класс (Алгебра)
Решение #1 (Учебник 2024)
Решение #2 (Учебник 2024)
Решение #3 (Учебник 2019)
Решение #4 (Учебник 2019)
Решение #5 (Учебник 2019)

Рассмотрим вариант решения задания из учебника Макарычев, Миндюк, Нешков 8 класс, Просвещение:
а) При каких значениях х двучлен 2х - 1 принимает положи-тельные значения?
б) При каких значениях у двучлен 21- Зу принимает отрицательные значения?
в) При каких значениях с двучлен 5 - Зс принимает значения, большие 80?
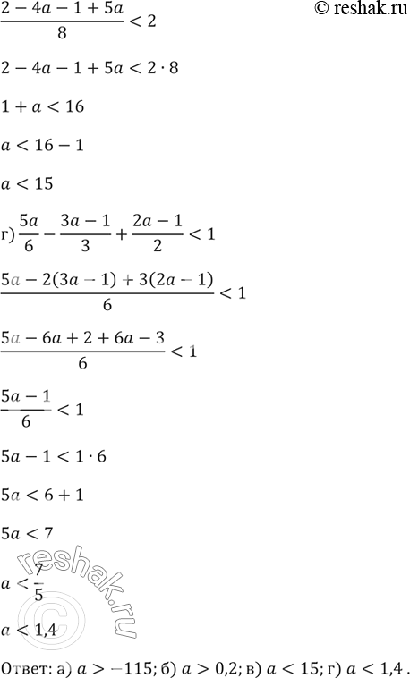
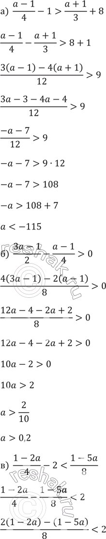
При каких значениях а верно неравенство:
Похожие решебники
Популярные решебники 8 класс Все решебники
*размещая тексты в комментариях ниже, вы автоматически соглашаетесь с пользовательским соглашением