Упр.940 ГДЗ Макарычев Миндюк 8 класс (Алгебра)
Решение #1 (Учебник 2024)
Решение #2 (Учебник 2024)
Решение #3 (Учебник 2019)
Решение #4 (Учебник 2019)

Рассмотрим вариант решения задания из учебника Макарычев, Миндюк, Нешков 8 класс, Просвещение:
Решите неравенство и изобразите множество его решений на координатной прямой:
а) 11х - 2 < 9;
б) 2-3у > -4;
в) 17 - х <= 11;
г) 2-12х > -1;
д) 3у - 1 > -1 + 6у;
е) 0,2х - 2 < 7 - 0,8х;
ж) 6b - 1 < 12 + 7b;
з) 16х - 34 > х + 1.
Решите неравенство:
а) 0,01(1 - 3х) > 0,02х + 3,01;
б) 12(1 - 12х) + 100х > 36 - 49х;
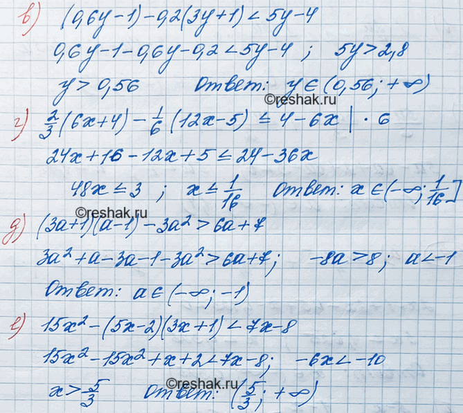
в) (0,6у - 1) - 0,2 (3у + 1) < 5у - 4;
г) 2/3*(6х + 4)- 1/6*(12х-5) <= 4-6х;
д) (3а + 1)(а - 1) - 3а2 > 6а + 7;
е) 15х2 - (5х - 2)(3х + 1) < 7х - 8.
Похожие решебники
Популярные решебники 8 класс Все решебники
*К сожалению, временные проблемы с публикацией комментариев с мобильных устройств.