Упр.829 ГДЗ Макарычев Миндюк 8 класс (Алгебра)
Решение #1 (Учебник 2024)
Решение #2 (Учебник 2024)
Решение #3 (Учебник 2024)
Решение #4 (Учебник 2019)
Решение #5 (Учебник 2019)

Рассмотрим вариант решения задания из учебника Макарычев, Миндюк, Нешков 8 класс, Просвещение:
Для наполнения бассейна через первую трубу потребуется на 9 ч больше времени, чем при наполнении через первую и вторую трубы, и на 7 ч меньше, чем через одну вторую трубу. За сколько часов наполнится бассейн через обе трубы?
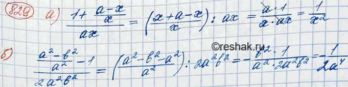
Упростите выражение:
Похожие решебники
Популярные решебники 8 класс Все решебники
*размещая тексты в комментариях ниже, вы автоматически соглашаетесь с пользовательским соглашением