Упр.554 ГДЗ Макарычев Миндюк 8 класс (Алгебра)
Решение #1 (Учебник 2024)
Решение #2 (Учебник 2024)
Решение #3 (Учебник 2024)
Решение #4 (Учебник 2019)
Решение #5 (Учебник 2019)

Рассмотрим вариант решения задания из учебника Макарычев, Миндюк, Нешков 8 класс, Просвещение:
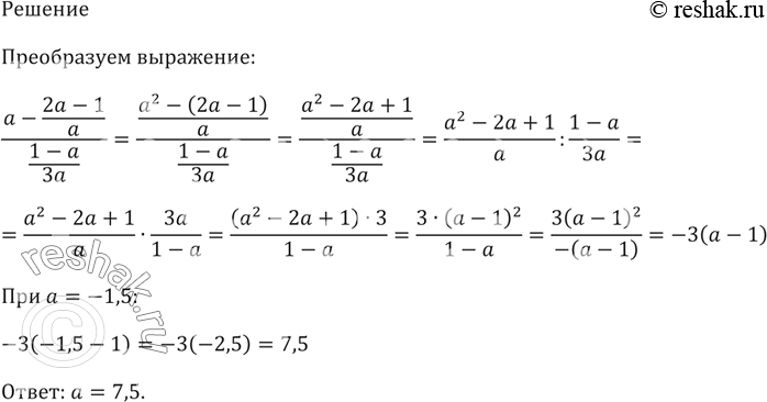
Найдите значение выражения:
(Задача-исследование.) Решите уравнения:
а) x2 - 5x + 6 = 0 и 6x2 - 5x + 1 = 0;
б) 2x2 - 13x + 6 = 0 и 6x2 - 13x + 2 = 0.
1) Пусть одна группа учащихся выполнит задание а), а другая — задание б).
2) Сравните результаты и выскажите предположение о соотношении между корнями уравнений ах2 + bх + с = 0 и сх2 + bх + а = 0.
3) Докажите, что ваше предположение верно.
Похожие решебники
Популярные решебники 8 класс Все решебники
*размещая тексты в комментариях ниже, вы автоматически соглашаетесь с пользовательским соглашением