Упр.50 ГДЗ Макарычев Миндюк 8 класс (Алгебра)
Решение #1 (Учебник 2024)
Решение #2 (Учебник 2024)
Решение #3 (Учебник 2024)
Решение #4 (Учебник 2019)
Решение #5 (Учебник 2019)

Рассмотрим вариант решения задания из учебника Макарычев, Миндюк, Нешков 8 класс, Просвещение:
Представьте выражение 2а + b в виде дроби со знаменателем, равным:
а) b; б) 5; в) 3а; г) 2а - b.
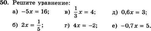
Решите уравнение:
а) -5x=16;
б) 2x=1/5;
в) 1/3*x=4;
г) 4x=-2;
д) 0,6x=3;
е) -0,7x=5.
Похожие решебники
Популярные решебники 8 класс Все решебники
*К сожалению, временные проблемы с публикацией комментариев с мобильных устройств.