Упр.408 ГДЗ Макарычев Миндюк 8 класс (Алгебра)
Решение #1 (Учебник 2024)
Решение #2 (Учебник 2024)
Решение #3 (Учебник 2024)
Решение #4 (Учебник 2019)
Решение #5 (Учебник 2019)

Рассмотрим вариант решения задания из учебника Макарычев, Миндюк, Нешков 8 класс, Просвещение:
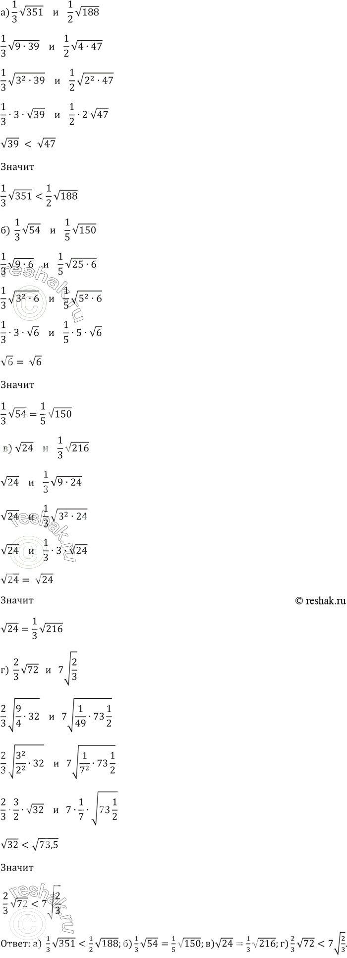
Сравните значения выражений:
а) 1/3 корень 351 и 1/2 корень 188;
б) 1/3 корень 54 и 1/5 корень 150;
в) корень 24 и 1/3 корень 216;
г) 2/3 корень 72 и 7 корень 2/3.
Вынесите множитель за знак корня и упростите полученное выражение:
а) 1/2 корень 24;
б) 2/3 корень 45;
в) -1/7 корень 147;
г) -1/5 корень 275;
д) 0,1 корень 20 000;
е) -0,05 корень 28 800.
Похожие решебники
Популярные решебники 8 класс Все решебники
*размещая тексты в комментариях ниже, вы автоматически соглашаетесь с пользовательским соглашением