Упр.396 ГДЗ Макарычев Миндюк 8 класс (Алгебра)
Решение #1 (Учебник 2024)
Решение #2 (Учебник 2024)
Решение #3 (Учебник 2019)
Решение #4 (Учебник 2019)
Решение #5 (Учебник 2019)

Рассмотрим вариант решения задания из учебника Макарычев, Миндюк, Нешков 8 класс, Просвещение:
Извлеките корень, представив подкоренное выражение в виде произведения простых множителей:
а) корень 20 736;
б) корень 50 625;
в) корень 28 224;
г) корень 680 625.
Упростите выражение:
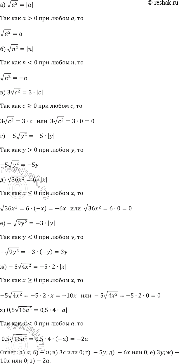
а) корень a2, если а > 0;
б) корень n2, если n < 0;
в) 3 корень c2, если с >= 0;
г) -5 корень y2 если у > 0;
д) корень 36х2, если x<= 0;
е) - корень 9у2, если у < 0;
ж) -5 корень 4x2, если х >= 0;
з) 0,5 корень 16a2, если а < 0.
Похожие решебники
Популярные решебники 8 класс Все решебники
*размещая тексты в комментариях ниже, вы автоматически соглашаетесь с пользовательским соглашением