Упр.400 ГДЗ Макарычев Миндюк 8 класс (Алгебра)
Решение #1 (Учебник 2024)
Решение #2 (Учебник 2024)
Решение #3 (Учебник 2019)
Решение #4 (Учебник 2019)

Рассмотрим вариант решения задания из учебника Макарычев, Миндюк, Нешков 8 класс, Просвещение:
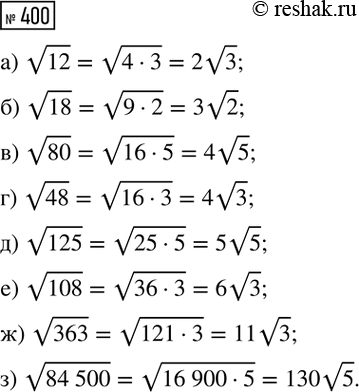
Вынесите множитель из-под знака корня:
а) v12;
б) v18;
в) v80;
г) v48;
д) v125;
е) v108;
ж) v363;
з) v84500.
Упростите выражение:
а) корень (7+ 4 корень 3);
б) корень (6 - 2 корень 5);
в) корень (5+ 2 корень 6);
г) корень (3+ корень 8).
Похожие решебники
Популярные решебники 8 класс Все решебники
*размещая тексты в комментариях ниже, вы автоматически соглашаетесь с пользовательским соглашением