Упр.1140 ГДЗ Макарычев Миндюк 8 класс (Алгебра)
Решение #1 (Учебник 2024)
Решение #2 (Учебник 2019)
Решение #3 (Учебник 2019)
Решение #4 (Учебник 2019)

Рассмотрим вариант решения задания из учебника Макарычев, Миндюк, Нешков 8 класс, Просвещение:
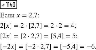
Известно, что x = 2,7. Найдите: 2[x]; [2x]; [-2x].
Найдите члены пропорции х1 : х2 = х3 : х4, в которой первый член на 6 больше второго, а третий на 5 больше четвёртого. Сумма квадратов всех членов равна 793.
Похожие решебники
Популярные решебники 8 класс Все решебники
*К сожалению, временные проблемы с публикацией комментариев с мобильных устройств.