Упр.1123 ГДЗ Макарычев Миндюк 8 класс (Алгебра)
Решение #1 (Учебник 2024)
Решение #2 (Учебник 2019)
Решение #3 (Учебник 2019)
Решение #4 (Учебник 2019)

Рассмотрим вариант решения задания из учебника Макарычев, Миндюк, Нешков 8 класс, Просвещение:
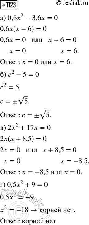
Решите уравнение:
а) 0,6x^2 - 3,6x = 0; в) 2x^2 + 17x = 0;
б) с^2 - 5 = 0; г) 0,5x^2 + 9 = 0.
При каком значении m сумма квадратов корней уравнения х2 + х + m = 0 равна 13?
Похожие решебники
Популярные решебники 8 класс Все решебники
*К сожалению, временные проблемы с публикацией комментариев с мобильных устройств.