Упр.112 ГДЗ Макарычев Миндюк 8 класс (Алгебра)
Решение #1 (Учебник 2024)
Решение #2 (Учебник 2024)
Решение #3 (Учебник 2019)
Решение #4 (Учебник 2019)
Решение #5 (Учебник 2019)

Рассмотрим вариант решения задания из учебника Макарычев, Миндюк, Нешков 8 класс, Просвещение:
Выполните умножение:
а) 12/5x*x3/12a;
б) 8c2/15m*1/4c2;
в) 11a4/6*12b/a5;
г) 4n2/3m2*9m/2.
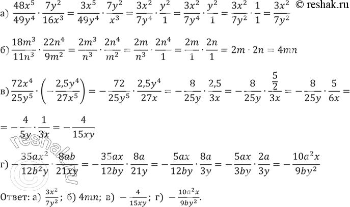
Упростите выражение:
а) 48x5/49y4 * 7y2/16x3;
б) 18m3/11n3*22n4/9m2;
в) 72x4/25y5*(-2,5y4/27x5);
г) -35ax2/12b2y * 8ab/21xy.
Похожие решебники
Популярные решебники 8 класс Все решебники
*К сожалению, временные проблемы с публикацией комментариев с мобильных устройств.