Упр.1107 ГДЗ Макарычев Миндюк 8 класс (Алгебра)
Решение #1 (Учебник 2024)
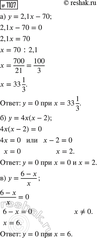
Решение #2 (Учебник 2019)
Решение #3 (Учебник 2024)

Рассмотрим вариант решения задания из учебника Макарычев, Миндюк, Нешков 8 класс, Просвещение:
Имеет ли нули функция:
а) у = 2,1х - 70; б) у = 4х(х - 2); в) у = (6 - x)/x?
Решите систему уравнений:
системма
x + y + 2 + u= 5,
y + z + u +v =1,
x + u + v + x=2,
u + v + x + y=0,
v + х + y + z = 4.
Похожие решебники
Популярные решебники 8 класс Все решебники
*К сожалению, временные проблемы с публикацией комментариев с мобильных устройств.