Упр.1094 ГДЗ Макарычев Миндюк 8 класс (Алгебра)
Решение #1 (Учебник 2024)
Решение #2 (Учебник 2019)
Решение #3 (Учебник 2024)

Рассмотрим вариант решения задания из учебника Макарычев, Миндюк, Нешков 8 класс, Просвещение:
Решите уравнение:
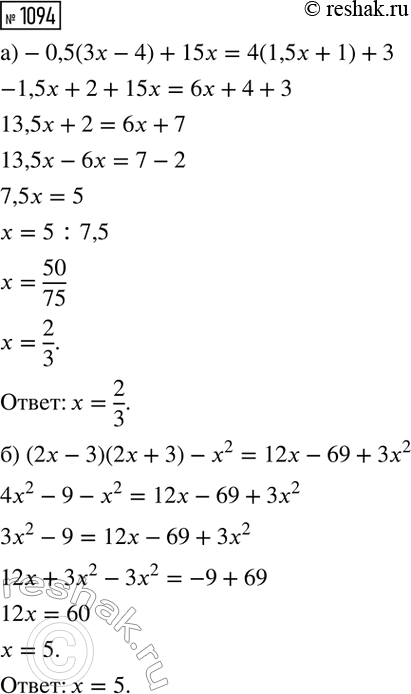
а) -0,5(3x - 4) + 15x = 4(1,5x + 1) + 3;
б) (2x - 3)(2x + 3) - x^2 = 12x - 69 + 3x^2.
Выполните действия над числами, записанными в стандартном виде:
а) (3,4 * 10^15) * (7 * 10^-12);
б) (8,1 * 10^-23) * (2 * 10^21);
в) (9,6 * 10^-12): (3,2 * 10^-15);
г) (4,08 * 10^11): (5,1 * 10^-7).
Похожие решебники
Популярные решебники 8 класс Все решебники
*К сожалению, временные проблемы с публикацией комментариев с мобильных устройств.