Упр.1035 ГДЗ Алимов 10-11 класс (Алгебра)
Решение #1
Решение #2

Рассмотрим вариант решения задания из учебника Алимов, Колягин, Ткачёва 11 класс, Просвещение:
1035 Найти площадь фигуры, ограниченной линиями:
1) у = корень x, x = 1, x = 4, у = 0;
2) у - cos х, х = 0, х=пи/3, у = 0;
3) у = х2, у = 2 - х;
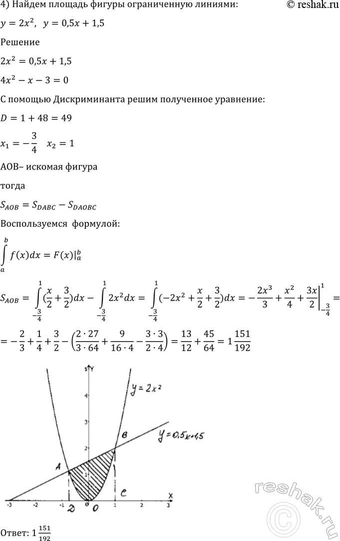
4) у = 2х2, у = 0,5х + 1,5.
Популярные решебники 11 класс Все решебники
*К сожалению, временные проблемы с публикацией комментариев с мобильных устройств.