🔥ГДЗ под запретом?

Проверьте себя Пункт 39 ГДЗ Виленкин Жохов 6 класс Часть 2, Просвещение (Математика)

Решение #1 (Учебник 2023)

Изображение Проверочная работа. Раскрытие скобокЗапишите выражение и упростите его:1. Сумма минус четырёх и разности четырёх и «эм».2. Разность семи и суммы «икс» и семи.3....

Решение #2 (Учебник 2023)

Изображение Проверочная работа. Раскрытие скобокЗапишите выражение и упростите его:1. Сумма минус четырёх и разности четырёх и «эм».2. Разность семи и суммы «икс» и семи.3....

Решение #3 (Учебник 2021)

Изображение Проверочная работа. Раскрытие скобокЗапишите выражение и упростите его:1. Сумма минус четырёх и разности четырёх и «эм».2. Разность семи и суммы «икс» и семи.3....

Рассмотрим вариант решения задания из учебника Виленкин, Жохов, Чесноков 6 класс, Просвещение:
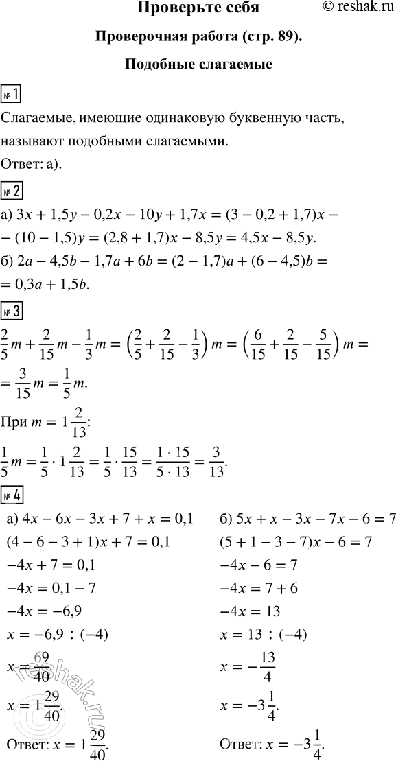
Проверочная работа
1. Какие слагаемые называются подобными? Выберите правильный ответ:
а) слагаемые, имеющие одинаковую буквенную часть;
б) слагаемые, имеющие одинаковые коэффициенты;
в) слагаемые с одинаковыми знаками;
г) слагаемые с разными знаками.
2. Приведите подобные слагаемые:
а) 3х + 1,5у - 0,2х - 10у + 1,7x;
б) 2а - 4,5b - 1,7а + 6b.
3. Найдите значение выражения 2/5 m + 2/15 m - 1/3 m при m = 1 2/13.
4. Упростите выражение и найдите x:
а) 4х - 6x - 3x + 7 + x = 0,1;
б) 5x + x - 3x - 7х - 6 = 7.

Проверочная работа. Раскрытие скобок
Запишите выражение и упростите его:
1. Сумма минус четырёх и разности четырёх и «эм».
2. Разность семи и суммы «икс» и семи.
3. Разность выражения «а» плюс «бэ» и выражения «бэ» минус два.
4. Сумма выражения «икс» минус «игрек» и выражения «игрек» минус «икс».
5. Запишите выражение, противоположное сумме «ка» и минус десяти.
6. Выражение —х + 3 заключите в скобки, перед которыми стоит знак «минус».
Верно ли высказывание (ответьте да или нет)?
7. Если раскрываются скобки, перед которыми стоит знак «плюс», то знаки слагаемых, стоящих в скобках, изменяются.
8. Если сумма нескольких слагаемых заключается в скобки, перед которыми стоит знак «минус», то знак каждого слагаемого меняется на противоположный.

*Цитирирование задания со ссылкой на учебник производится исключительно в учебных целях для лучшего понимания разбора решения задания.
*К сожалению, временные проблемы с публикацией комментариев с мобильных устройств.