🔥ГДЗ под запретом?

Проверьте себя Пункт 37 ГДЗ Виленкин Жохов 5 класс Часть 2, Просвещение (Математика)

Решение #1 (Учебник 2023)

Изображение Проверьте себя Пункт 37 ГДЗ Виленкин Жохов 5 класс Часть 2, Просвещение
Дополнительное изображение

Рассмотрим вариант решения задания из учебника Виленкин, Жохов, Александрова 5 класс, Просвещение:
Проверочная работа
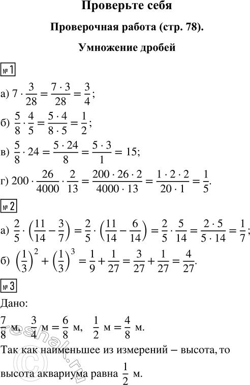
1. Вычислите:
а) 7 · 3/28; б) 5/8 · 4/5; в) 5/8 · 24; г) 200 · 26/4000 · 2/13.
2. Выполните действия:
а) 2/5 · (11/14 - 3/7); б) (1/3)^2 + (1/3)^3.
3. На заказ сделан аквариум с измерениями 7/8 м, 3/4 м, 1/2 м.
Наименьшее из измерений — высота аквариума.
а) Найдите объём грунта, необходимого для заполнения аквариума, если толщина слоя грунта равна 5 см.
б) Для расчёта затрат на профилактику течи найдите общую длину всех швов аквариума (места соединения двух стёкол).
в) Найдите объём аквариума.
г) Сколько кубометров воды можно налить в аквариум, чтобы вода не доходила на 10 см до края?

*Цитирирование задания со ссылкой на учебник производится исключительно в учебных целях для лучшего понимания разбора решения задания.
*К сожалению, временные проблемы с публикацией комментариев с мобильных устройств.