Самостоятельная работа 45 Вариант 4 ГДЗ Дидактические материалы Никольский Потапов 10 класс (Алгебра)
Решение #1

Рассмотрим вариант решения задания из учебника Потапов, Шевкин, Никольский 10 класс, Просвещение:
Решите систему уравнений (1—4).
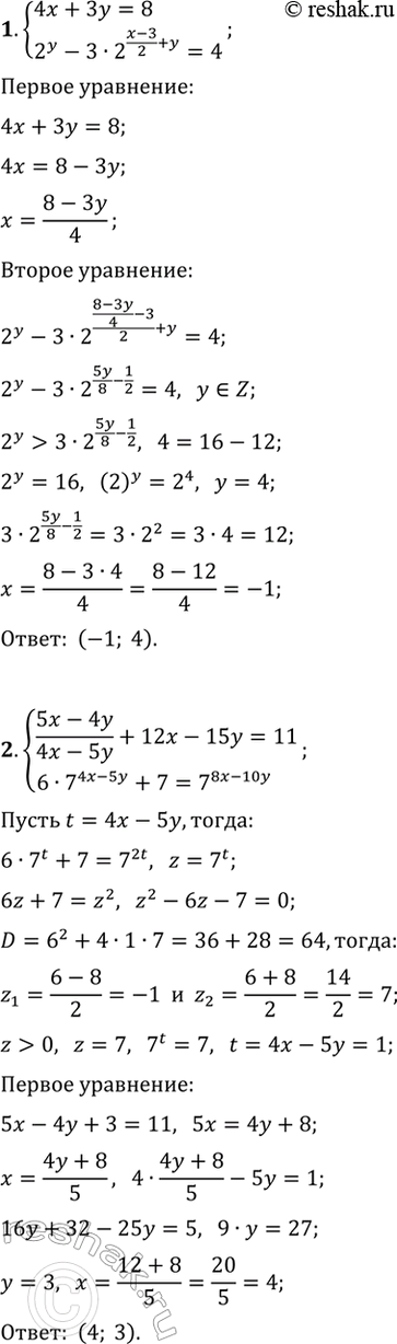
1. {4x+3y=8, 2^y-3·2^((x-3)/2+y)=4}.
2. {(5x-4y)/(4x-5y)+12x-15y=11, 6·7^(4x-5y)+7=7^(8x-10y)}.
3. {3cos(x)+4sin(y)=2,5, 4cos(x)-3sin(y)=-5}.
4. {3/v(x+2)-2/v(y-3)=7, 2/v(x+2)+3/v(y-3)=22}.
Похожие решебники
Популярные решебники 10 класс Все решебники
*размещая тексты в комментариях ниже, вы автоматически соглашаетесь с пользовательским соглашением