Самостоятельная работа 45 Вариант 3 ГДЗ Дидактические материалы Никольский Потапов 10 класс (Алгебра)
Решение #1

Рассмотрим вариант решения задания из учебника Потапов, Шевкин, Никольский 10 класс, Просвещение:
Решите систему уравнений (1—4).
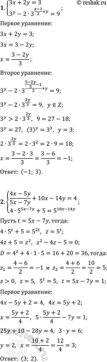
1. {3x+2y=3, 3^y-2·3^((x-1)/2+y)=9}.
2. {(4x-5y)/(5x-7y)+10x-14y=4, 4·5^(5x-7y)+5=5^(10x-8y)}.
3. {3sin(x)+2cos(y)=0,5, 2sin(x)-3cos(y)=-4}.
4. {3/v(x-1)+2/v(y+2)=12, 5/v(x-1)-3/v(y+2)=1}.
Похожие решебники
Популярные решебники 10 класс Все решебники
*размещая тексты в комментариях ниже, вы автоматически соглашаетесь с пользовательским соглашением