Самостоятельная работа 45 Вариант 2 ГДЗ Дидактические материалы Никольский Потапов 10 класс (Алгебра)
Решение #1

Рассмотрим вариант решения задания из учебника Потапов, Шевкин, Никольский 10 класс, Просвещение:
Решите систему уравнений (1—4).
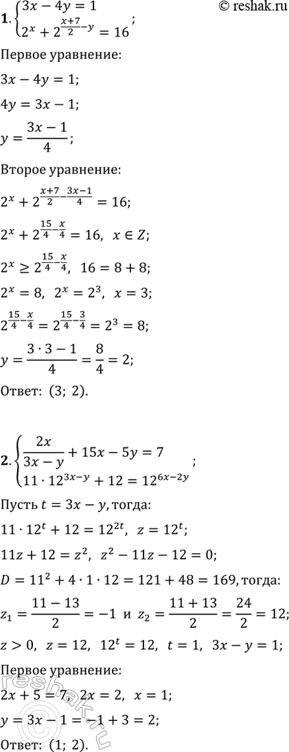
1. {3x-4y=1, 2^x+2^((x+7)/2-y)=16}.
2. {2x/(3x-y)+15x-5y=7, 11·12^(3x-y)+12=12^(6x-2y)}.
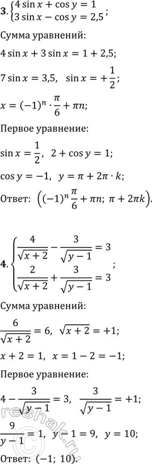
3. {4sin(x)+cos(y)=1, 3sin(x)+cos(y)=2,5}.
4. {4/v(x+2)-3/v(y-1)=3, 2/v(x+2)+3/v(y-1)=3}.
Похожие решебники
Популярные решебники 10 класс Все решебники
*размещая тексты в комментариях ниже, вы автоматически соглашаетесь с пользовательским соглашением