Самостоятельная работа 45 Вариант 1 ГДЗ Дидактические материалы Никольский Потапов 10 класс (Алгебра)
Решение #1

Рассмотрим вариант решения задания из учебника Потапов, Шевкин, Никольский 10 класс, Просвещение:
Решите систему уравнений (1—4).
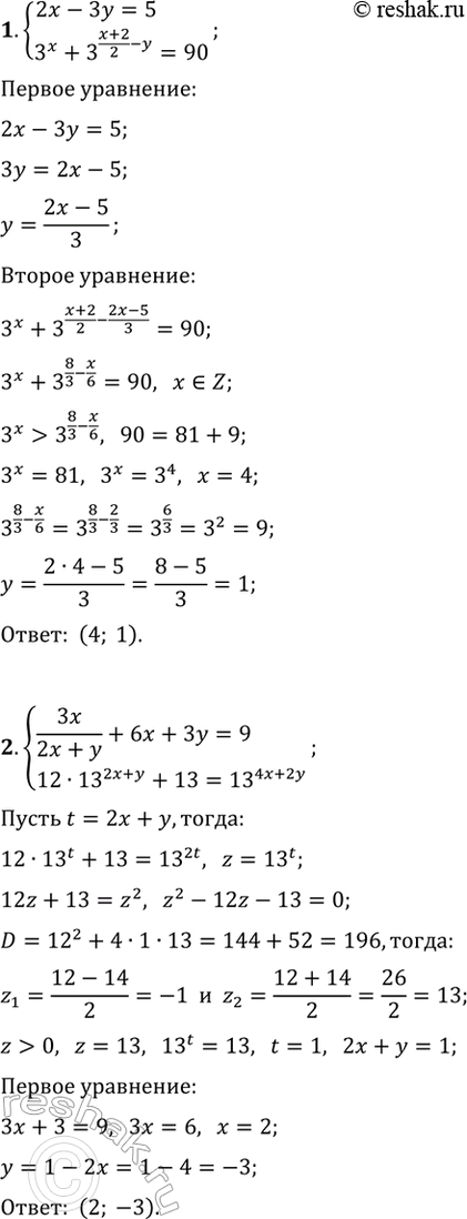
1. {2x-3y=5, 3^x+2^((x+2)/2-y)=90}.
2. {3x/(2x+y)+6x+3y=9, 12·13^(2x+y)+13=13^(4x+2y)}.
3. {3cos(x)+sin(y)=0,5, 2cos(x)-sin(y)=2}.
4. {5/v(x-3)+2/v(y+1)=6, 3/v(x-3)-2/v(y+1)=2}.
Похожие решебники
Популярные решебники 10 класс Все решебники
*размещая тексты в комментариях ниже, вы автоматически соглашаетесь с пользовательским соглашением