Самостоятельная работа 43 Вариант 4 ГДЗ Дидактические материалы Никольский Потапов 10 класс (Алгебра)
Решение #1

Рассмотрим вариант решения задания из учебника Потапов, Шевкин, Никольский 10 класс, Просвещение:
Решите неравенство (1—4).
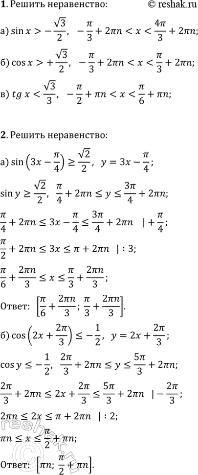
1. а) sin(x) > -v3/2; б) cos(x) > v3/2; в) tg(x) < v3/3.
2. а) sin(3x-?/4)?v2/2; б) cos(2x+2?/3)?-1/2.
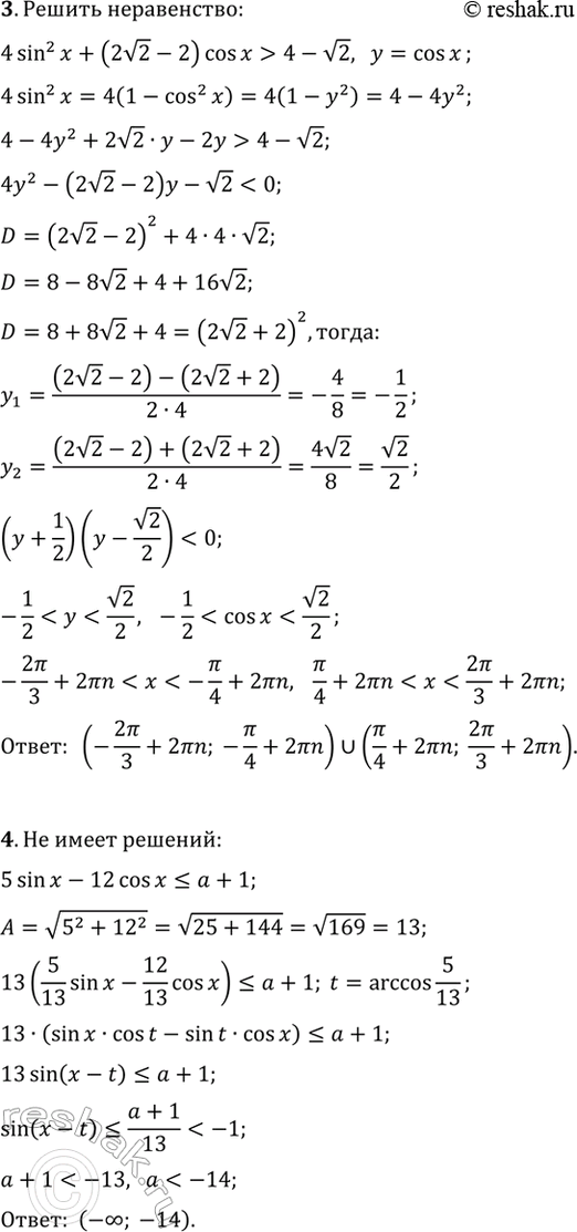
3. 4sin^2(x)+(2v2-2)cos(x) > 4-v2.
4. Определите все a, при каждом из которых неравенство
5sin(x)-12cos(x)?a+1 не имеет решений.
Похожие решебники
Популярные решебники 10 класс Все решебники
*размещая тексты в комментариях ниже, вы автоматически соглашаетесь с пользовательским соглашением