Самостоятельная работа 43 Вариант 3 ГДЗ Дидактические материалы Никольский Потапов 10 класс (Алгебра)
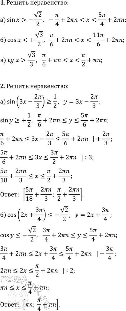
Решение #1

Рассмотрим вариант решения задания из учебника Потапов, Шевкин, Никольский 10 класс, Просвещение:
Решите неравенство (1—4).
1. а) sin(x) > -v2/2; б) cos(x) < v3/2; в) tg(x) > v3/3.
2. а) sin(3x-2?/3)?1/2; б) cos(2x+3?/4)?-v2/2.
3. 4cos^2(x)-(2v2-2)sin(x) > 4-v2.
4. Определите все a, при каждом из которых неравенство
5sin(x)+12cos(x)?a-1 не имеет решений.
Похожие решебники
Популярные решебники 10 класс Все решебники
*размещая тексты в комментариях ниже, вы автоматически соглашаетесь с пользовательским соглашением