Самостоятельная работа 43 Вариант 2 ГДЗ Дидактические материалы Никольский Потапов 10 класс (Алгебра)
Решение #1

Рассмотрим вариант решения задания из учебника Потапов, Шевкин, Никольский 10 класс, Просвещение:
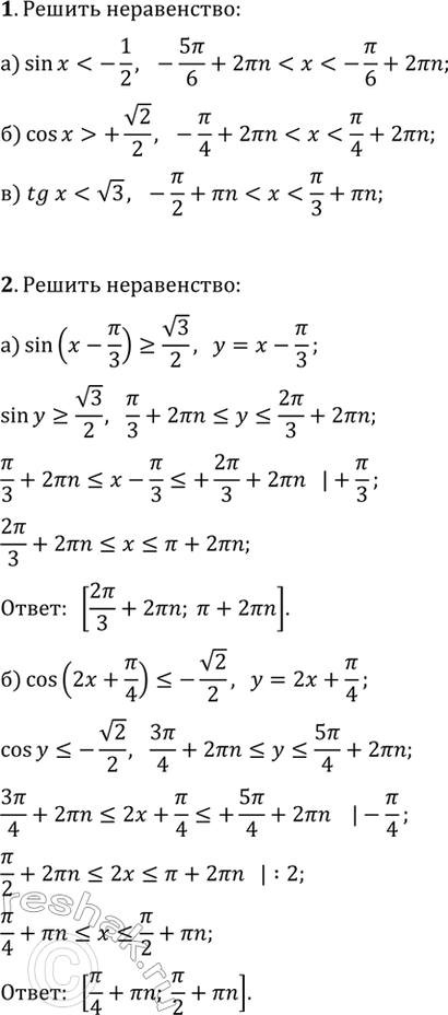
Решите неравенство (1—4).
1. а) sin(x) < -1/2; б) cos(x) > v2/2; в) tg(x) < v3.
2. а) sin(x-?/3)?v3/2; б) cos(2x+?/4)?-v2/2.
3. 2sin^2(x)-cos(x) > 2.
4. Определите все a, при каждом из которых неравенство
3sin(x)-4cos(x)?a имеет хотя бы одно решение.
Похожие решебники
Популярные решебники 10 класс Все решебники
*размещая тексты в комментариях ниже, вы автоматически соглашаетесь с пользовательским соглашением