Самостоятельная работа 43 Вариант 1 ГДЗ Дидактические материалы Никольский Потапов 10 класс (Алгебра)
Решение #1

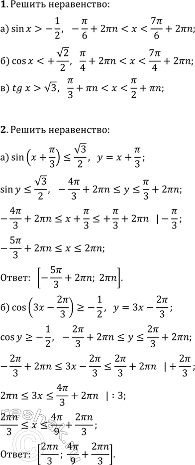
Рассмотрим вариант решения задания из учебника Потапов, Шевкин, Никольский 10 класс, Просвещение:
Решите неравенство (1—4).
1. а) sin(x) > -1/2; б) cos(x) < v2/2; в) tg(x) > v3.
2. а) sin(x+?/3)?v3/2; б) cos(3x-2?/3)?-1/2.
3. 2cos^2(x)+v2sin(x) > 2.
4. Определите все a, при каждом из которых неравенство
4sin(x)+3cos(x)?a имеет хотя бы одно решение.
Похожие решебники
Популярные решебники 10 класс Все решебники
*размещая тексты в комментариях ниже, вы автоматически соглашаетесь с пользовательским соглашением